2019考研:高数必考题型之泰勒公式的应用
2018/4/10 15:45:01
来源: 本站
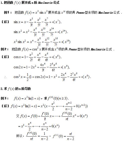
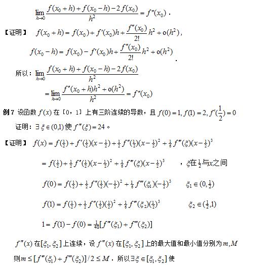
海天考研老师介绍,求极限的各种方法、无穷小与函数的连续性、导数与微分法、求导方法、微积分中存在性问题证明等都是高数重点题型,下面我们来看泰勒公式的应用:






2025考研人数达388w,考研热度依旧火热!如何备战2026考研?哪个考研专业适合自己?在职考生如何备考?考研知识点繁多,择校困难大,和海天考研咨询老师聊一聊。网课面授多项选,专业辅导1对1,全年集训随时学!

热门推荐



